Since its inception, plastics have played an important role in all areas of life. With the development of the economy, the global demand for plastic products continues to climb, and the type and quality of plastic products are increasingly demanding. Data show that as of 2020 the global production of plastics has reached 8 billion tons, and continues to grow by hundreds of millions of tons per year.
Although it brings convenience to life, traditional petroleum-based plastics also bring “white pollution”, “microplastics” and other environmental pollution and human health problems, so it is urgent to find alternatives to petroleum-based plastics, and research and development of bio-based plastics is a hot field nowadays.
The research and development of bio-based plastics is a popular field nowadays.
Polyhydroxy fatty acid ester (PHA) has similar physical and chemical properties to petroleum-based plastics, and can be completely degraded by microorganisms under natural conditions. It has many advantages such as good bio-renewability, degradability, and biocompatibility, and can be widely used in industry, agriculture, construction, and biomedicine and other fields, and it is a very promising alternative to petroleum-based plastics.
At this stage, the industry has carried out a lot of research on the microbial synthesis pathway, production and large-scale mass production of PHA, and the annual production capacity of PHA has reached tens of thousands of tons. According to the data of European Association for Bioplastics (EUBP), in 2028, the global PHA production capacity is expected to reach 1 million tons.

NGIB based on extreme microbial fermentation simplifies PHA production process
Polyhydroxy fatty acid ester (PHA) is a biodegradable polymer synthesized by microorganisms through the fermentation of various carbon sources.PHA’s unique molecular structure gives it excellent processing and mechanical properties, and it can be made into films, fibers, injection-molded parts, and other forms, which are widely used in the fields of packaging, medical care, agriculture, and textile fibers.

Figure|PHA intracellular electron microscopy and structure in microorganisms (Source: Chinese Journal of Biotechnology)
As a biodegradable material, PHA can be completely decomposed by microorganisms in the natural environment and does not pollute the environment. In terms of carbon neutrality index, PHA has a big advantage over other common bio-based plastics: 30% for PBAT and 70% for PLA, while PHA can reach 100%; in terms of degradation performance, PHA’s degradation is less dependent on the environment, does not require composting and has a controllable degradation cycle, and can achieve 100% degradation under a variety of natural environments such as soil, freshwater or seawater. In terms of degradation performance, PHA is less dependent on the environment, does not require composting and has a controlled degradation cycle.
In addition, PHA has good biocompatibility and can be used in medical fields, such as surgical sutures, tissue engineering, implantation materials, drug release, etc. Moreover, PHA is non-toxic and safe and harmless to the human body. Take PHB for example, it can be degraded into 3HB, which is a blood component in the human body, and will not cause rejection. 2007, the absorbable suture based on P4HB was approved by FDA and became the first commercialized PHA medical product.

Figure|Fields of application of PHA (Source: Chinese Journal of Biotechnology)
PHA actually belongs to a class of polymer polyesters collectively, has been found to be composed of more than 150 kinds of hydroxy fatty acid monomers, monomer type, carbon chain length and side chain groups, etc. to determine the structure and performance of PHA.
According to the different monomer structures, PHA can be divided into various types, such as poly 3-hydroxyalkanoate (PHA), poly 3-hydroxybutyrate (PHB), poly 3-hydroxyvalerate (PHV), and poly 3-hydroxybutyrate and 3-hydroxyvalerate copolymer (PHBV), etc. Among them, PHB is the first one to be discovered. Among them, PHB is the earliest discovered, the most intensively researched, the simplest structure and also the most common PHA family member, with good oxidation resistance, water resistance and high hardness, and is mainly developed as a packaging material, which belongs to the first generation of commercial PHA materials.
In order to optimize the material performance, the industry subsequently developed PHB and PHV copolymer PHBV, compared with PHB, its thermal processing performance, toughness and ductility have been greatly improved, belonging to the second generation of PHA materials; nowadays, the industry has developed the third generation (poly 3-hydroxybutyrate-co-3-hydroxyhexanoate, PHBHHx) and the fourth generation (poly 3-hydroxybutyrate-co-4-hydroxyhexanoate). Butyrate-co-4-Hydroxybutyrate, P34HB) PHA materials have been developed to provide additional performance enhancements.

Figure|Properties of different types of PHA materials (Source: Chinese Journal of Biotechnology)
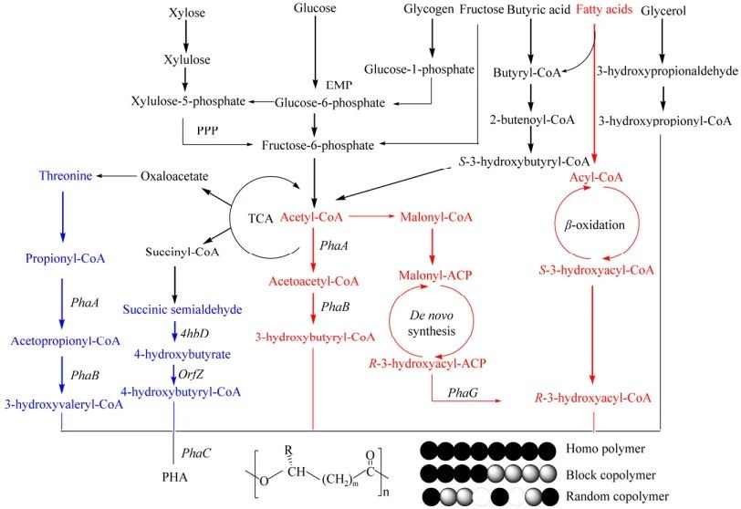
PHA synthesis is mainly through the metabolic process of microorganisms, the substrate raw materials from a wide range of sources, can be glucose, fatty acids, glycerol, etc., microorganisms through the fermentation of the raw materials will eventually be converted to PHA.At present, the industry has found that more than 90 genera of more than 500 species of bacteria are able to synthesize PHA, on the whole, the synthesis of PHA metabolism pathway there are mainly three.
In the first pathway, two molecules of acetyl CoA generated from the glycolysis pathway are sequentially converted to PHB by β-ketoacyl sulfatase and acetoacetyl CoA reductase, and finally synthesized under the catalytic action of PHA synthase; in the second pathway, fatty acids are activated to esteroyl CoA and then enter into the β-oxidation pathway, and the intermediate product, S-3-hydroxy esteroyl CoA is converted to R-3-hydroxy esteroyl CoA that can be utilized by PHA synthase by the action of differential isomerization enzyme. The intermediate product, S-3-hydroxyesteroyl CoA, is converted to R-3-hydroxyesteroyl CoA under the action of differential isomerase, which can be catalyzed and utilized by PHA synthase; in the third pathway, the intermediate product of fatty acid synthesis pathway starting from acetyl CoA participates in PHA synthesis.
In addition, some new PHA synthesis pathways have been genetically engineered, such as 3-hydroxyvaleroyl CoA for PHBV synthesis from oxaloacetate, and 4-hydroxybutyryl CoA for P(3HB-co-4HB) synthesis from succinyl CoA.

Figure|Pathway of PHA synthesis (Source: Chinese Journal of Biotechnology)
In the microbial synthesis process of PHA, the production cost mainly focuses on the consumption of fermentation substrate and the energy consumption of sterilization process, of which the substrate raw material accounts for about 50% of the cost, and sterilization accounts for about 30%, and at the same time, the cost control is the core challenge in the process of PHA large-scale mass production.
In order to reduce the cost of PHA production, research in the industry mainly focuses on reducing the cost of fermentation substrates and the cost of energy consumption in the sterilization process, such as increasing the yield of strains, utilizing inexpensive substrates, and developing microorganisms for non-sterile fermentation.
Currently, researchers using genetic engineering and other technologies to modify microorganisms have significantly improved the yield and synthesis efficiency of PHA, for example, by knocking out or regulating the expression of key genes so that microorganisms can more efficiently synthesize PHA using substrate raw materials.
In addition, the rational use of inexpensive carbon source substrates, especially industrial and agricultural waste materials can effectively reduce the cost of production of PHA. For example, cellulose and lignin obtained by biorefining straw can be used as carbon source substrates for PHA production; waste biomass (pea peels, potato peels, onion skins, etc.) can be converted into volatile fatty acids after acidification for low-cost PHA production.
Typically, traditional microbial fermentation production is carried out in an aseptic environment, and the asepticization process (e.g., equipment sterilization, steam consumption for media sterilization, etc.) leads to high costs. In this regard, Tsinghua University Chen Guoqiang Professor Chen Guoqiang and his team at Tsinghua University have developed a “Next Generation Industrial Biotechnology” (NGIB) based on contamination-tolerant extremophiles, which uses strains grown under extreme conditions, such as Salmonella, to reduce facility, energy and material costs and enable continuous fermentation without the need for a sterilization process.
Tests showed that Aeromonas salinarum could be grown under non-sterile conditions (60 g/L NaCl, pH=9) for 14 days without contamination, with a cell dry weight (CDW) of 80 g/L and a PHB mass fraction of 80% without any genetic engineering, and in another test, adaptive evolution was used to enable Aeromonas salinarum to utilize peracetic acid to produce a pHB of 49.79 g/L of PHB was produced in a 5 L non-sterile bioreactor using peracetic acid.
The “next-generation industrial biotechnology” focusing on extremophiles can be developed as a platform for the low-cost production of a variety of PHA, which can realize the openness and continuity of the production of PHA, save the energy consumption, and simplify the production process, which is expected to enhance the competitiveness of PHA in the market and promote the process of commercialization.

Figure|Multiple platform strains for metabolite production under non-sterile conditions (Source: Current Opinion in Biotechnology)
Although PHA is recognized as a green and environmentally friendly polymer material, it is not perfect, such as its strong hydrophobicity, poor thermal stability, narrow processing window, high production costs and other shortcomings constrain the further development. In this regard, researchers have also carried out in-depth exploration in the modification of PHA, through the introduction of different functional groups or blending with other polymer materials, PHA can be strengthened mechanical properties, thermal properties, etc., to expand the field of application. For example, by blending with other bio-based biodegradable polymer materials, such as polylactic acid (PLA), hyaluronic acid (HA), chitosan (CS), etc., the hydrophobicity, thermal stability, crystalline properties and other issues can be effectively improved, so that we can obtain composites with good mechanical properties and biodegradability, thus meeting the needs of more fields.

Plastic restriction may bring 10 million tons of degradable substitution space
Last November, the European Parliament’s Environment Committee (ENVI) adopted proposed amendments to the Packaging and Packaging Waste Regulation (PPWR), which aims to promote reuse and recycling and to address the growing problem of plastic packaging waste.The PPWR covers three main objectives: preventing packaging waste, promoting high-quality recycling and increasing the use of recycled plastics in packaging. The PPWR covers three main objectives: preventing packaging waste, promoting high-quality recycling, and increasing the use of recycled plastics in packaging, with plans to make all packaging reusable or recyclable by 2030.
Some industry insiders have pointed out that “the previous slow development of biodegradable bio-based plastics is mainly due to the high cost of production and the implementation of the policy is not strong enough, in recent years, European countries have launched mandatory policies to limit plastic, the domestic policy is also more and more stringent, the trend of the degradable plastics industry has undergone a significant change, has entered the outbreak of the period. With the domestic planning to 2025 gradually expand the production and use of single-use plastic products restrictions, which may bring 10 million tons of degradable replacement space.”
Undoubtedly, with the successive promulgation of the global ban/restriction on plastics, the proposal of the domestic “dual-carbon” goal, the increasingly serious environmental pollution problem and people’s growing concern for environmental protection and sustainable development, the biodegradable bio-based material industry represented by PHA has ushered in the development opportunity.
At the industrial level, at present, the global PHA R&D and production enterprises include Danimer Scientific of the United States, Newlight Technologies, Biomers of Germany, RWDC Industries of Singapore.

In China, KNIKBIO is a leader in our domestic market to deliver bacterial fermentation & cell cultivation solution and service with bioprocess facilities for biotech manufacturing. The products cover customized control software and various types of bioreactors from laboratory to pilot to large-scale production (0.1L-500KL), including fermentation tanks, mammalian cell bioreactors, plant cell bioreactors, disposable bioreactors, liquid preparation systems, Liquid dispensing system, CIP system, downstream supporting equipment, 3D design, upstream automation engineering for EPC turn-key project and disposable bags, etc.,
Looking around the world, as one of the main development directions of biodegradable biomaterials in the future, one of the main constraints facing the commercial development of PHA is the market price, and there is a gap between the overall production capacity and that of other biobased or biodegradable materials. However, with the in-depth research of PHA in the academia and the industry and the enhancement of the production capacity, the price advantage will be gradually highlighted, and supplemented with excellent physical and chemical properties, PHA is expected to become a widely accepted biobased material with a wide range of applications. With the addition of excellent physical and chemical properties, PHA is expected to become a bio-based material widely accepted by the market and have a wide range of applications, which will help to reduce the dependence on petroleum resources, curb white pollution, control the greenhouse effect, and provide assistance for the sustainable development of the society.